Lec 4 - Subspace & Dot Product
Wednesday, January 11, 2012
9:26 AM
Recall:
![]()
![]()
Definition
![]()
Theorem:
(Subspace Test)
![]()
![]()
Proof:
![]()
Properties 1 and 6 are what is being checked.
![]()
![]()
Note: Our proof shows that any set that does NOT contain the zero vector is NOT a subspace.
Eg.
![]()
![]()
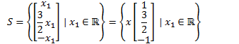
Eg.
![]()
![]()
![]()
![]()
![]()
![]()
![]()
![]()
=0
Property 4 holds true.
![]()
![]()
![]()
![]()
![]()
![]()
![]()
![]()
Note:
![]()

![]()
Eg.
![]()

![]()
![]()
![]()
Dot
Product
Definition

![]()
Note: The result of the dot product is a scalar, NOT a vector.
Eg

![]()
![]()

Theorem
(Properties of Dot Product)
![]()
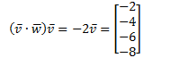
Proof:
![]()
![]()
![]()
![]()

![]()
![]()
![]()
![]()
Q.E.D.
Definition
![]()
Eg.

![]()
Definition
![]()
Theorem:
(Property of Norms)
![]()
Created by Tim Pei with Microsoft OneNote 2010
One place for all your notes and information